CAM THẢO BẮC
(Ngày đăng: ngày 4 tháng 8 năm 2025)
Cam thảo bắc (Radix et Rhizoma Glycyrrhizae)
Cam thảo bắc (Radix et Rhizoma Glycyrrhizae), còn được mệnh danh là “Quốc lão” – vị thuốc được kính trọng trong y học cổ truyền phương Đông, là phần rễ và thân rễ (có thể giữ nguyên vỏ hoặc đã loại bỏ lớp bần) của một số loài trong chi Cam thảo (Glycyrrhiza L.), thuộc họ Đậu (Fabaceae, còn có tên đồng nghĩa là Leguminosae – trong đó Fabaceae là tên gọi phổ biến nhất hiện nay trong phân loại thực vật học hiện đại).
Ba loài thực vật được sử dụng làm nguồn dược liệu chính bao gồm:
- Glycyrrhiza uralensis – loài được gọi đơn giản là Cam thảo, hay Cam thảo Bắc.
- Glycyrrhiza inflata – Trướng quả cam thảo, hay còn được gọi là Cam thảo phồng.
- Glycyrrhiza glabra – Quang quả cam thảo, còn được biết đến rộng rãi với tên gọi Cam thảo Âu, Cam thảo nhẵn.
Dược liệu được chế biến bằng cách thu hái rễ và thân rễ, sau đó phơi hoặc sấy khô, đảm bảo giữ lại các thành phần hoạt chất quý giá như glycyrrhizin – hợp chất đặc trưng tạo nên vị ngọt và nhiều tác dụng sinh học.
Cam thảo bắc còn được biết đến với nhiều tên gọi truyền thống như Diêm cam thảo, Sinh cam thảo hay Phấn cam thảo. Trong các tài liệu nước ngoài, nó thường xuất hiện dưới những tên như Liquorice, sweet wood, bois doux, racine douce hoặc réglisse, trong đó nổi bật nhất là Gancao – danh xưng chính thức trong Dược điển Trung Quốc, phản ánh vai trò trọng yếu của vị thuốc này trong y học cổ truyền Á Đông.
*Bạn có bao giờ tự hỏi tại sao chỉ có ba loài cam thảo (gồm: Glycyrrhiza uralensis, Glycyrrhiza inflata và Glycyrrhiza glabra) được công nhận chính thức là Cam thảo bắc trong các dược điển và tài liệu khoa học hàng đầu hiện nay chưa? Thật là một sự thật thú vị phải không nào.

Có một thông tin chúng ta nên biết, chi Cam thảo (Glycyrrhiza L.) trên thế giới được ghi nhận có hơn 12 loài, phân bố chủ yếu tại các vùng ôn đới ẩm và á nhiệt đới của châu Á, châu Âu và Bắc Phi. Tuy nhiên, các loài có giá trị dược liệu cao thường tập trung tại khu vực Trung Á – bao gồm Iran, Azerbaijan, Kazakhstan, Ấn Độ, Nga, Trung Quốc và Mông Cổ, đây là những nơi sở hữu khí hậu, thổ nhưỡng và điều kiện sinh thái phù hợp góp phần định hình nên hàm lượng hoạt chất đặc trưng, đặc biệt là glycyrrhizin.
Việc một loài thuộc chi Glycyrrhiza được công nhận là Cam thảo bắc không đơn thuần dựa trên hình thái học hay vùng phân bố, mà chủ yếu dựa vào hàm lượng glycyrrhizin – hợp chất saponin triterpenoid đặc hiệu quyết định phần lớn dược tính của dược liệu. Theo quy định trong Dược điển Việt Nam (lần V) và Dược điển Trung Quốc 2020, hàm lượng glycyrrhizin trong dược liệu phải đạt tối thiểu 2%, trong khi tiêu chuẩn của Dược điển Châu Âu 2023 thậm chí nâng lên đến 4%..
Ở cả hai loài Cam thảo Âu (Glycyrrhiza glabra), Cam thảo bắc (Glycyrrhiza uralensis), Trướng quả cam thảo (Glycyrrhiza inflata) đều đạt tiêu chuẩn khi chúng đều đạt được hàm lượng glycyrrhizin tối thiểu 2%, cụ thể như sau:
|
Loài |
|
|
Glycyrrhiza uralensis |
2.2–6.5% |
|
Glycyrrhiza inflata |
2.0–6.5% |
|
Glycyrrhiza glabra |
2.0–9.0% |
Giữa ba loài cam thảo trên thì Glycyrrhiza uralensis được xem là loài đại diện tiêu biểu và có tính biểu tượng cao nhất. Sự lựa chọn này không chỉ dựa vào hàm lượng glycyrrhizin cao và ổn định, mà còn dựa trên nền tảng lịch sử y học cổ truyền lâu đời, tính sẵn có trong tự nhiên cũng như khả năng nuôi trồng quy mô lớn trên thế giới. Trong hàng nghìn năm qua, G. uralensis đã được sử dụng rộng rãi trong các bài thuốc cổ phương của y học cổ truyền Trung Hoa, đóng vai trò là dược liệu “hòa hoãn” – giúp điều hòa tác dụng các vị thuốc khác trong bài thuốc, đồng thời cũng tăng cường hiệu quả điều trị chung.
Bên cạnh glycyrrhizin (được xem như biomarker đặc trưng), ở cả ba loài G. uralensis, G. inflata và G. glabra đều chứa nhiều nhóm hoạt chất quan trọng khác như flavonoid (liquiritin, isoliquiritin) và các hợp chất phenolic khác. Các hợp chất này đóng vai trò đáng kể trong cơ chế chống oxy hóa và kháng viêm – hai tác dụng sinh học then chốt giải thích phần nào hiệu quả lâm sàng của Cam thảo. Trong khi đó, các loài khác thuộc chi Glycyrrhiza, ví dụ G. echinata, tuy cũng chứa flavonoid (như echinatin) nhưng lại chưa được nghiên cứu đầy đủ về dược lý và hồ sơ lâm sàng, do đó chưa đủ điều kiện để được chấp nhận trong các dược điển chính thống.
Xét về phương diện lịch sử sử dụng, G. glabra (Cam thảo Âu) đã được ghi nhận trong y học cổ đại Ai Cập và nhiều nền y học châu Âu cổ truyền với các ứng dụng nổi bật trong điều trị ho và viêm họng. Trong khi đó, hai loài còn lại – G. uralensis và G. inflata – lại có vai trò trung tâm trong y học cổ truyền Trung Hoa từ thế kỷ thứ 2 sau Công nguyên, đặc biệt trong các phương thuốc bổ khí, điều hòa ngũ tạng và hỗ trợ tiêu hóa.
Ngược lại, các loài khác trong chi Glycyrrhiza không được đưa vào danh sách chính thức do chưa đạt được hàm lượng hoạt chất yêu cầu, thiếu dữ liệu tiền lâm sàng và lâm sàng đầy đủ, hoặc không đáp ứng được tiêu chuẩn hóa quốc tế về độ an toàn và tính nhất quán.
Bên cạnh ba loài chính được dược điển công nhận hiện nay, vẫn có một số dạng phân loại dưới loài của G. glabra cũng được ghi nhận là nguồn nguyên liệu bổ sung cho Cam thảo bắc trong nhiều khu vực. Bao gồm:
- Glycyrrhiza glabra var. glanduliferaWaldst. et Kit., phân bố chủ yếu ở khu vực Trung và Đông Âu, thường mọc hoang.
- Glycyrrhiza glabra var. typicaReg. et Herd., được tìm thấy tại các vùng hoang dã ở Bồ Đào Nha.
- Glycyrrhiza glabra var. violaceaBoiss., có mặt tự nhiên tại Iran.
Đáng chú ý, loài Glycyrrhiza korshinskyi Grig., từng được ghi nhận phân bố rộng rãi tại các nước thuộc Liên Xô cũ, cũng được sử dụng thay thế ba loài Cam thảo kinh điển trong một số trường hợp, mặc dù chưa được công nhận chính thức trong các dược điển lớn. Việc sử dụng các loài và dạng dưới loài này chủ yếu dựa trên sự tương đồng về hình thái thực vật, thành phần hoạt chất chính (đặc biệt là hàm lượng glycyrrhizin), cũng như tính sẵn có tại địa phương. Tuy nhiên, sự thiếu hụt về dữ liệu lâm sàng và hồ sơ độc tính đồng nghĩa với việc cần có thêm nghiên cứu sâu để khẳng định tính tương đương về hiệu quả và độ an toàn so với ba loài Cam thảo được chuẩn hóa hiện nay.

*Tại sao dân gian dùng Thổ cam thảo hay Cam thảo đá bia thay cho Cam thảo bắc, điều đó có đúng về mặt khoa học không?
Trong y học dân gian Việt Nam, hai loài thực vật là Thổ cam thảo (Scoparia dulcis L.), thuộc họ Mã đề (Plantaginaceae) và Cam thảo đá bia (Jasminanthes tuyetanhiae T.B. Tran & Rodda), thuộc họ Trúc Đào (Apocynaceae) đôi khi được sử dụng như những dược liệu thay thế cho Cam thảo bắc (Radix et Rhizoma Glycyrrhizae) trong một số bài thuốc truyền thống. Tuy nhiên, việc thay thế này đặt ra những câu hỏi quan trọng về tính tương đồng dược lý và sự phù hợp với nguyên lý của y học cổ truyền cũng như tiêu chuẩn đánh giá hiện đại.
Cam thảo đá bia, loài duy nhất thuộc chi Jasminanthes được định danh tại Việt Nam, mới chỉ được xác lập danh pháp khoa học vào năm 2018 tại vùng núi Đá Bia, tỉnh Phú Yên. Trước đó, cây này thường bị nhầm lẫn với Telosma procumbens (Merr.)—một loài khác thuộc họ Thiên lý. Phần thân hóa gỗ và rễ của J. tuyetanhiae được sử dụng phổ biến trong dân gian với tên gọi “dây Cam thảo đá bia”, nhờ vào vị ngọt đặc trưng và tác dụng thanh nhiệt, tương đồng với cảm nhận vị và công năng của Cam thảo bắc. Tuy nhiên, cho đến nay, các nghiên cứu khoa học về dược tính của loài này vẫn còn sơ khai. Một hợp chất chủ đạo được phân lập từ loài này là Telosmoside A11, thuộc nhóm pregnane glycoside và được phân lập nhiều nhất hiện nay trong Cam thảo đá bia. Dù đây là một hợp chất tiềm năng trở thành biomarker, nhưng hiện vẫn chưa có dữ liệu lâm sàng nào chứng minh được hiệu quả dược lý của nó tương đương với glycyrrhizin – hoạt chất chính trong Cam thảo bắc. Vì vậy, việc sử dụng Cam thảo đá bia như một dược liệu thay thế vẫn còn mang tính giả định và cần được thẩm định kỹ lưỡng bằng các bằng chứng dược lý và lâm sàng rõ ràng.
Trong khi đó, Thổ cam thảo (Scoparia dulcis L.), một loài thuộc họ Mã đề (Plantaginaceae), phân bố rộng tại vùng nhiệt đới và cận nhiệt đới, bao gồm cả Việt Nam (đặc biệt tại tỉnh Cao Bằng), từ lâu đã được biết đến trong y học cổ truyền như một vị thuốc đa dụng. Dân gian thường dùng cây này để trị đau răng, tiểu máu, ghẻ lở, tiểu đường, sốt, buồn nôn, rối loạn kinh nguyệt và các bệnh lây truyền qua đường tình dục. Trong một số bài thuốc nhuận tràng và điều trị các rối loạn da liễu, Thổ cam thảo cũng xuất hiện như một thành phần hỗ trợ. Thành phần hóa học của S. dulcis khá đa dạng, gồm các nhóm hoạt chất điển hình như opadulane-type diterpenoid, flavonoid và phenolic, có hoạt tính chống oxy hóa, kháng viêm, kháng khuẩn và hạ đường huyết. Tuy nhiên, cơ chế tác động của các hợp chất này khác biệt đáng kể so với glycyrrhizin và không thể xem là tương đương sinh học hay chức năng với Cam thảo bắc trong phạm vi y học cổ truyền hay dược lý học hiện đại.
Như vậy, mặc dù Thổ cam thảo và Cam thảo đá bia có thể cung cấp một số hiệu quả lâm sàng tương đồng trong cảm nhận hoặc trong kinh nghiệm dân gian, nhưng cả hai đều chưa được xác lập đầy đủ vai trò thay thế tương đương với Cam thảo bắc về mặt khoa học. Việc thay thế cần được tiếp cận một cách thận trọng, dựa trên tiêu chuẩn hóa hoạt chất, đánh giá dược lực học, độc tính và bằng chứng lâm sàng cụ thể để đảm bảo tính an toàn và hiệu quả điều trị.
*Ở Việt Nam, chúng ta có rất nhiều loại cam thảo thú vị như Cam thảo nam, Cam thảo dây và Sóng rắn, nhưng bạn có biết chúng khác nhau như thế nào so với Cam thảo bắc không? Liệu chúng có thể thay thế cho nhau trong các bài thuốc dân gian hay không?

|
Dược liệu |
Cam thảo bắc |
Cam thảo nam |
Cam thảo dây |
Sóng rắn |
||
|
Tên khoa học |
Glycyrrhiza uralensis Fisch. |
Glycyrrhiza inflata Bat. |
Glycyrrhiza glabra L. |
Scoparia dulcis L. |
Abrus precatorius L. |
Albizia myriophylla Benth. |
|
Họ |
Đậu (Fabaceae) |
Mã đề (Plantaginaceae), trước đây được xếp vào họ Hoa mõm chó (Scrophulariaceae) |
Đậu (Fabaceae) |
Đậu (Fabaceae), có phân họ Trinh nữ (Mimosoideae) |
||
|
Mô tả |
Cây thân thảo sống lâu năm, cao khoảng 0.3-1m có rễ dài, màu vàng nhạt, hình trụ, thẳng hoặc hơi cong, đường kính 0.6-3.5 cm. Vỏ ngoài màu nâu đỏ hoặc nâu xám, có vết nhăn dọc, lỗ vỏ nhô lên và vết sẹo rễ con. Rễ cạo vỏ có màu vàng nhạt, chất cừng, khó bẻ, vết bẻ màu vàng nhạt, nhiều xơ dọc, chứa tinh bột. Phân thân rễ hình trụ, có núm sẹo và chồi bất định, tuỷ nhỏ ở trung tâm mặt cắt ngang. Thân có lông mềm, ngắn. Lá kép lông chim lẻ, mọc so le, gồm 9-17 lá chét hình trứng, mép nguyên. Hoa mọc ở kẽ lá thành bông, màu tím nhạt, tràng hoa hình cánh bướm. Ra hoa tháng 6-7. Quả hình đậu, cong giống lưỡi liềm, dài 3-4cm, rộng 6-8 mm. màu nâu đen, có lông dày, chứa 2-8 hạt nhỏ, màu nâu bóng,. Ra quả vào tháng 8-9. G. uralensis có mùi đặc biệt, vị ngọt, hơi khé cổ. |
Rễ và thân rễ hoá gỗ, chất cứng, đôi khi ohaan nhánh, vỏ ngoài thô ráp, màu nâu xám, mang nhiều chồi bất định lớn. Phần mặt bẻ có nhiều sợi hoá gỗ thành đám, ít tinh bột. G. inflata có mùi nhẹ, vị ngọt đặc trưng. |
Rễ và thân rễ tương đối chắc, đôi khi phân nhánh, vỏ ngoài không thô ráp, màu nâu xám, lỗ vỏ nhỏ, không rõ. Cụ thể, phần rễ dài đến 1m, đường kính 0.5-3cm, vỏ nâu xám có đường rãnh dọc, dấu vết rễ bên, trong khi thân rễ hình trụ, dài 10-15cm, đường kính 1-2cm, có chồi nhỏ. Lá kép lông chim lẻ, lá chét thuông dài. Hoa lơ nhạt, mọc thành bông. Quả đậu dẹt, thẳng hoặc hơi cong, dài 2-3cm, rộng 3-4mm, nhẵn hoặc lông ngắn, chứa ít hạt. G. glabra có mùi thơm nhẹ, vị ngọt.
|
Cây thảo cứng, cao 0.3-1m, gốc hóa gỗ, thân nhẵn, hình trụ, hơi có cạnh. Lá mọc vòng 3 hoặc đối, hình mác/bầu dục, mép khía răng tù. Hoa trắng, mọc 3-5 ở kẽ lá, cuống mảnh. Quả nang nhỏ, hạt rất nhỏ, nhăn. |
Dây leo dài, thường xanh. Thân mỏng, có lông rấy. Lá kép lông chim chẵn, 8-15 đôi lá chét bầu dục. Hoa hồng, mọc chùm sít. Quả đậu, lông nhỏ, hạt 3-7, đỏ chói với đốm đen. |
Thân cây nhỏ, cao 2-4m, thân trụ có cạnh, vỏ nâu nhạt với nốt sần. Khi chặt ngang thân, nhựa chảy ra. Lá kép lông chim 2 lần, mỗi lá gồm 20-40 đôi lá chét hình dải, dài 5-8mm. mặt dưới phủ lông mịn. Cụm hoa dạng ngù, dài 6cm, màu trắng, đài hình đầu có răng, 15 nhị. Quả đậu mỏng, dài 12cm, chứa 4-9 hạt dẹt màu nâu. |
|
Soi bột |
Màu vàng nhạt đến vàng nâu. Hạt tinh bột đứng riêng, hình trứng hoặc cầu có đường kính 2-20µm. Sợi gỗ màu vàng, thành dày, kèm tế bào chứa tinh thể calci oxalat hình lăng trụ. Mạch điểm màu vàng, mảnh bần màu đỏ G.uralensis có nhiều tinh bột, sợi gỗ ít hoá gỗ. |
Màu vàng nhạt, sợi bó (8-14µm), ít hóa gỗ, kèm tinh thể calci oxalat. Mạch điểm viền, hiếm mạch mạng. Mảnh bần nâu đỏ. G. inflata có sợi hoá gỗ nhiều, ít tinh bột, cấu trúc chắc hơn. |
Màu vàng nhạt, có hạt tinh bột 2-20µm (chủ yếu 5-12µm). Sợi gỗ bó, kèm tinh thể calci oxalat. Mạch viền, hiếm mạch lưới. G. glabra chứa tinh bột dồi dào, sợi gỗ và mạch lớn, tuỷ chi ở thân rễ. |
Màu vàng lục, ít xơ, mùi thơm nhẹ. Mảnh biểu bì ngoằn ngoèo, lông tiết chân đơn bào (đầu 4-20 tế bào) hoặc đa bào. Mạch vạch, xoắn, điểm, mạng. Hạt phấn hoa hình cầu. |
Vỏ ngoài, tế bào mô mềm, tế bào đá, sợi xơ hóa, tinh thể oxalat canxi, tinh bột. |
Màu vàng nhạt, chứa tinh bột, sợi gỗ, tinh thể oxalat canxi, mạch điểm. |
|
Bộ phận dùng |
Rễ và thân rễ phơi khô (sống hoặc chích với mật ong) |
Toàn cây, rễ, dùng tươi hoặc khô. |
Rễ, thân, lá, hạt (hạt độc, chỉ dùng ngoài) |
Gỗ, vỏ thân, vỏ rễ |
||
|
Phân bố tự nhiên |
Trung Á, Siberia, Mông Cổ, Trung Quốc (đặc biệt ở tỉnh Tân Cương, Cam Túc). Cây ưa nắng, chịu khô hạn, nhiệt độ khắc nghiệt (-0°C đến 40°C). Mọc trên đất vôi, cát khô, hoặc bùn nhão. Rễ dài trên 1m, mọc lẫn cây bụi, bờ sông, savan, rừng ôn đới, độ cao 200-3000m. Năng suất: trung bình 2-8.5 tấn rễ khô/ha. |
Chủ yếu ở Trung Quốc (đặc biệt ở tỉnh Tân Cương, Nội Mông). Ưa đất khô cằn, nhiều calci. Năng suất thấp hơn G. uralensis và G. glabra, không có số liệu cụ thể. |
Trung Á, Nam Âu, Trung Đông, Trung Quốc. Cây thường mọc trên đất khô cằn, nhiều calci. Năng suất: 3-12.5 tấn rễ khô/ha. |
Vùng nhiệt đới châu Mỹ, Đông Nam Á, Nam Á, đặc biệt tại Trung Quốc, Việt Nam (rộng rãi từ núi đến đồng bằng). |
Nhiệt đới châu Á, Đông Nam Á, Ấn Độ, Trung Quốc, châu Phi, Úc, Việt Nam (các vùng ven biển, đảo) |
Vỏ rễ, vỏ thân |
|
Vùng trồng chủ yếu |
Trung Quốc (có thể là tỉnh Cam Túc, Tân Cương). Điều kiện canh tác: Đất khô, giàu canxi, chịu hạn tốt. |
Tây Ban Nha, Ý, Hy Lạp, Iran, Ấn Độ (đặc biệt ở Tây Ban Nha, Ý). Điều kiện canh tác: Đất cát ẩm, pH trung tính, cần tưới tiêu. |
Hiện tại chưa thực hiện mô hình nuôi trồng, thu hái tự nhiên là chủ yếu. Điều kiện canh tác: Ưa ẩm, nhiều sáng, mọc hoang. |
Hiện tại chưa thực hiện mô hình nuôi trồng, thu hái tự nhiên là chủ yếu. Điều kiện canh tác: Ưa ẩm, nhiều sáng, mọc hoang. |
Hiện tại chưa thực hiện mô hình nuôi trồng, thu hái tự nhiên là chủ yếu. Điều kiện canh tác: Mọc hoang ở rừng thường xanh, đất ẩm. |
|
|
Quốc gia xuất khẩu |
Trung Quốc |
Trung Quốc |
Trung Quốc, Ấn Độ, Iran |
Không phải hàng thương mại lớn. |
Hạt xuất khẩu cho ngành trang sức, ngành dược điều trị lại không lớn |
Không phải hàng thương mại lớn. |
|
Biomaker |
Glycyrrhizin, liquiritin, ammonium glycyrrhizinat. |
Glycyrrhizin. |
DĐ Ấn Độ 2022: Glycyrrhizin (≥3% w/w), liquiritin. |
Amellin, diterpen, flavonoid. |
L-abrin (gây độc), abrusosid A-D, glycyrrhizin (1.25%). |
Lignan glycoside (albizziosid A, B, C), flavonoids (lupinifolin). |
|
Công dụng |
Kiện tỳ ích khí, nhuận phế chỉ ho, giải độc, điều hòa thuốc. Trị tỳ vị hư nhược, mệt mỏi, ho, đau họng, mụn nhọt. Chích Cam thảo: Bổ tỳ, ích khí, phục mạch. Sinh Cam thảo: Giải độc, trị đau họng, mụn nhọt. Chống viêm, chống loét, long đờm. |
Tương tự như G. uralensis: Kiện tỳ, nhuận phế, giải độc, điều hòa thuốc. Dược liệu ít được sử dụng hơn do năng suất thấp và chất lượng kém hơn. |
Tương tự G. uralensis, giúp kiện tỳ, nhuận phế, giải độc. Trị long đờm, chống loét, kháng viêm, bổ vị. |
Bổ tỳ, nhuận phế, thanh nhiệt, giải độc. Trị ho, viêm họng, tiểu đường, ban sởi. |
Rễ/lá trị ho, sốt, đau; hạt dùng ngoài trị mụn nhọt (độc). |
Vỏ thân/rễ sắc nước chữa ho, sốt, mụn nhọt. Lá sau khi giã đắp lên vết thương hở giúp cầm máu. |
Như vậy, sự nhầm lẫn giữa các loài dược liệu mang tên “cam thảo” tại Việt Nam chủ yếu bắt nguồn từ hiện tượng đồng danh và tương đồng công dụng trong y học dân gian. Việc cùng chia sẻ tên gọi “cam thảo” – vốn ám chỉ vị ngọt đặc trưng, điều đã tạo nên sự nhập nhằng trong nhận thức giữa các loài. Ngoài ra, việc các loài như Cam thảo nam (Scoparia dulcis), Cam thảo dây (Abrus precatorius) hay Sóng rắn (Albizia myriophylla Benth.) đều được sử dụng với mục đích làm dịu ho, kháng viêm, giải độc... càng khiến người sử dụng dễ lầm tưởng về tính chất và công dụng của chúng, đặc biệt khi không có sự phân biệt rõ ràng về nguồn gốc sinh học.
Yếu tố phân bố địa lý và hệ thống thu hái truyền thống càng làm trầm trọng thêm tình trạng này. Trong khi Cam thảo bắc chủ yếu được nhập khẩu từ Trung Quốc, các loài bản địa còn lại phổ biến rộng rãi ở từng khu vực sinh thái như Cam thảo nam ở vùng rừng, Cam thảo dây ở ven biển, hay sóng rắn tại Đông Nam Bộ và chúng thường được sử dụng thay thế do điều kiện tiếp cận dễ dàng. Bên cạnh đó, sự thiếu vắng các tiêu chuẩn định danh dựa trên cơ sở khoa học, đặc biệt là sự không đồng nhất trong việc sử dụng danh pháp khoa học hoặc phân tích hóa thực vật trong y học dân gian.
Tính vị quy kinh

Vị ngọt, bình. Quy kinh tỳ, vị, phế, tâm.
- Theo Y văn cổ:
- Sách Bản kinh: “vị ngọt bình”.
- Sách Danh Y biệt lục: “không độc”.
- Sách Trân châu nang: “sống, ngọt bình, chích, ngọt ôn. Quy kinh tỳ, vị, phế, tâm”.
- Sách Thang dịch bản thảo: “nhập túc quyết âm, thái âm, thiếu âm kinh”.
- Sách Lôi công bào chế dược tính giải: “nhập tâm tỳ”.
- Sách Bản thảo thông huyền: “nhập tỳ vị”.
- Sách Bản thảo kinh giải: “nhập thủ thái âm phế, túc thái âm tỳ kinh”.
Thành phần chủ yếu
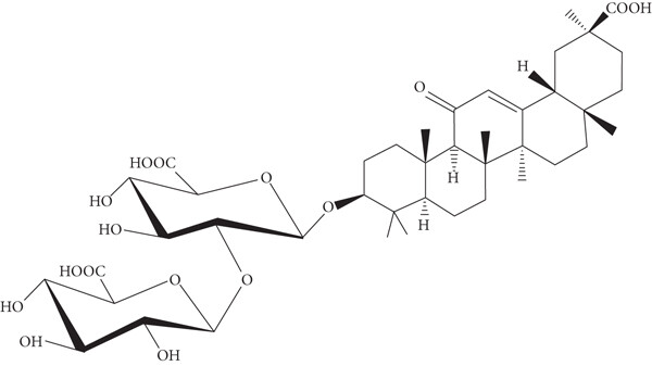
Cam thảo Bắc (Radix et Rhizoma Glycyrrhizae), một trong những dược liệu trọng yếu trong y học cổ truyền đã được nền khoa học hiện đại xác nhận về hệ thống hợp chất hoá thực vật phong phú và đa dạng tác dụng sinh học. Trong các nhóm hợp chất có mặt trong dược liệu thì glycyrrhizin được xem là biomarker chính, đại diện cho hiệu lực toàn diện của Cam thảo bắc trong điều trị viêm, bệnh gan và các rối loạn hô hấp. Tuỳ theo loài mà Cam thảo bắc có hồ sơ hoá học đặc thù, chẳng hạn: Với loài G. uralensis giàu nhóm flavonoid, G. inflata đặc trưng với licochalcone A, còn G. glabra nổi bật với hợp chất glabridin.

Cấu trúc hoá học của Glycyrrhizin (glycyrrhizinic acid)
Nồng độ glycyrrhizin trong rễ và thân rễ Cam thảo bắc được thống kê dao động trong khoảng từ 1–10%, phụ thuộc vào nguồn gốc loài và điều kiện sinh trưởng. Cụ thể thông tin được tổng hợp như sau:
|
Loài |
Hợp chất chính |
Biomarker |
Nồng độ (Rễ và thân rễ) |
|
Glycyrrhiza uralensis |
Triterpenoid saponin (glycyrrhizin, acid glycyrrhetinic, acid uralenic); Flavonoid (liquiritin, isoliquiritin, liquiritigenin, isoliquiritigenin, neoliquiritin, neoisoliquiritin, glycyrol, kumatakenin); Coumarin (glycycoumarin, umbelliferone); nhóm phenol (formononetin, licochalcone E). |
Glycyrrhizin, liquiritin |
Glycyrrhizin: 2-6% w/w. Liquiritin: 0.7-1.5% w/w. Isoliquiritin: 0.1-0.4% w/w. Uralenic acid: <0.1% w/w (hiếm). |
|
Glycyrrhiza inflata |
Triterpenoid saponin (glycyrrhizin, acid glycyrrhetinic); nhóm Chalcone (Licochalcone A, licochalcone B, echinatin); Flavonoid (liquiritin, isoliquiritin, liquiritigenin); nhóm Phenolic (licochalcone E). |
Glycyrrhizin, licochalcone A |
Glycyrrhizin: 2.0-6.0% w/w. Licochalcone A: 0.08-0.3% w/w. Liquiritin: 0.3-1% w/w. |
|
Triterpenoid saponin (Glycyrrhizin, glycyrrhetinic acid); Isoflavan (Glabridin, hispaglabridin A, hispaglabridin B, glabrene); Flavonoid (Liquiritin, isoliquiritin, liquiritigenin, isoliquiritigenin, neoliquiritin, neoisoliquiritin, licurazid, formononetin, licochalcone B); Coumarin (Umbelliferone, herniarin); nhóm Phenol (Glabrone, licochalcone E). |
Glycyrrhizin, glabridin |
Glycyrrhizin: 3.0-7.0% w/w. Glabridin: 0.2-1% w/w. Liquiritin: 0.5-2% w/w. Licurazid: <0.1% w/w (hiếm). Licochalcone B: 0.05-0.2% w/w. |
Hàm lượng các hợp chất hoạt tính trong Cam thảo bắc (Radix et Rhizoma Glycyrrhizae), đặc biệt là glycyrrhizin – một biomarker chính của dược liệu này, không phải là một giá trị bất biến, mà dao động đáng kể tùy theo loài, vùng địa lý, điều kiện trồng trọt và phương pháp phân tích. Chẳng hạn, loài Glycyrrhiza uralensis thu hái tại tỉnh Gansu thường cho hàm lượng glycyrrhizin cao hơn so với mẫu từ Nội Mông. Sự khác biệt này càng trở nên rõ nét khi sử dụng phương pháp phân tích HPLC, vốn cho độ chính xác cao hơn so với phương pháp quang phổ UV-Vis. Các yếu tố như độ ẩm, loại đất và tuổi cây cũng đóng vai trò quan trọng trong việc quyết định nồng độ các hợp chất hoạt tính trong rễ và thân rễ. Đáng chú ý, một số hợp chất tiềm năng như uralenic acid hay licurazid vẫn chưa được định lượng đầy đủ do sự xuất hiện hiếm gặp hoặc hạn chế trong phân tích. Từ thực tế này, nhu cầu về các nghiên cứu định lượng chuyên sâu, có đối sánh giữa các loài trong chi Glycyrrhiza, trở nên cấp thiết nhằm xác định mục tiêu ứng dụng lâm sàng một cách tối ưu cho cam thảo bắc trong tương lai.

Các hợp chất chính trong loài Glycyrrhiza glabra L. (Source: Glycyrrhiza Genus: Enlightening Phytochemical Components for Pharmacological and Health‐Promoting Abilities - Sharifi-Rad - 2021 - Oxidative Medicine and Cellular Longevity - Wiley Online Library)

Các hợp chất chính trong loài Glycyrrhiza uralensis Fisch. (Source: Glycyrrhiza Genus: Enlightening Phytochemical Components for Pharmacological and Health‐Promoting Abilities - Sharifi-Rad - 2021 - Oxidative Medicine and Cellular Longevity - Wiley Online Library)
Tác dụng dược lý
1. Theo Y học cổ truyền:
Cam thảo có tác dụng bổ trung ích khí, nhuận phế chỉ khát, hoãn cấp chỉ thống, thanh nhiệt giải độc. Chủ trị các chứng: tỳ vị hư nhược, tâm khí hư mạch kết, mạch đại, ho suyễn, đau cấp hoãn, hầu họng sưng đau, giải độc thuốc, thức ăn, điều hoà tính vị và tác dụng của thuốc.
Theo các Y văn cổ:
Sách Bản kinh: “chủ ngũ tạng lục phủ hàn nhiệt tà khí, kiện cân cốt, trưởng cơ nhục, bội lực, kim sang thũng, giải độc”. Sách Danh Y biệt lục: “ôn trung hạ khí, phiền mãn đoản khí, thương tạng khái thấu, chỉ khát, thông kinh mạch, lợi khí huyết, giải độc bách dược”. Sách Dược tính bản thảo: “dưỡng thận khí nội thương”. Sách Nhật hoa tử bản thảo: ”an hồn định phách, bổ ngũ lao thất thương, tất cả các chứng hư tổn, kinh quí, phiền muộn, kiện vong, thông cửu khiếu, lợi bách mạch, ích tinh dưỡng khí”. Sách Đồ kinh bản thảo: “Cam thảo năng giải bách dược độc, vi chúng dược chi yếu”. Tôn Tư Mạo nói: “Có người trúng độc ô đầu, ba đậu uống Cam thảo là hết”. Sách Bản thảo cương mục (quyển 12) nói về Cam thảo viết: “giải tiểu nhi thai độc kinh giản, giáng hoả chỉ thống”. Còn dẫn lời Lý Cao nói: “với người dương bất túc dùng Cam thảo vị ngọt để bổ, cam ôn năng trừ đạ nhiệt … thuốc nhiệt gia thêm Cam thảo tính bớt nhiệt, thuốc hàn gia Cam thảo thì bớt hàn, vừa dùng thuốc hàn nhiệt gia thêm Cam thảo khiến tính bình”. Sách Bản thảo hội ngôn: “Cam thảo hoà trung ích khí, là thuốc bổ hư giải độc, kiện tỳ vị … điều âm dương, hoà dinh vệ”.
Sách Cảnh Nhạc toàn thư bản thảo chính: “Cam thảo vị ngọt, tính trung hoà, tác dụng điều bổ do vật dùng với thuốc có độc thì giải độc, dùng với thuốc có tác dụng mạnh thì làm cho hoà hoãn, thuốc giải biểu thêm Cam thảo sẽ tăng thêm tác dụng, thuốc hạ có thêm Cam thảo thì tác dụng hoà hoãn. Cam thảo tăng thêm tác dụng bổ khí của Sâm kỳ, giúp Thục địa trị chứng âm hư nguy kịch. Thuốc trừ nhiệt tà kiện gân cốt, kiện tỳ vị trưởng cơ nhục, theo thuốc khí vào phần khí, theo thuốc huyết vào phần huyết, không nơi nào không đến được nên có tên là Quốc lão”!
2. Kết quả nghiên cứu dược lý hiện đại:

- Tác dụng giải độc:Cam thảo bắc có tác dụng giải độc chloral hydrate, physostigmine, acetylcholine, pilocarpine, … các barbituric và histamine.
Theo báo cáo của tác giả Tam Hảo Anh Phu, các muối kali và canxi của glycyrrhizic acid, một thành phần đặc trưng trong Cam thảo bắc (Radix et Rhizoma Glycyrrhizae) đã thể hiện tiềm năng giải độc đáng kể đối với nhiều loại độc tố sinh học, bao gồm: độc tố bạch hầu, độc tố từ cá nóc, nọc rắn, cũng như hỗ trợ trong các trường hợp choáng. Những nhận định này được củng cố qua nghiên cứu in vitro công bố năm 2012, trong đó glycyrrhizin – một saponin triterpenoid chủ lực của dược liệu, không chỉ cho thấy tác dụng kháng viêm rõ rệt (hỗ trợ giải độc), mà còn đóng vai trò điều hoà đáp ứng miễn dịch bảo vệ tế bào. Đặt tiềm năng cho liệu pháp kháng độc hiệu quả từ glycyrrhizin trong tương lai.

Cơ chế giải độc của các hợp chất có trong dược liệu khi kết hợp theo thuyết TCM (Y học cổ truyền Trung Hoa). Nguồn: Detoxification and underlying mechanisms towards toxic alkaloids by Traditional Chinese Medicine processing: A comprehensive review - ScienceDirect
Theo báo cáo của Cửu Bảo Mộc Hiến và Tinh Kỳ Hoà Tử (Nhật Bản, 1954), glycyrrhizin trong cam thảo bắc có khả năng giải độc strychnine, được cho là liên quan đến quá trình thuỷ phân thành acid glycuronic. Một nghiên cứu tiền lâm sàng kéo dài một tháng trên chuột (2022) cũng cho thấy, khi kết hợp cam thảo bắc với mã đề, nồng độ nội độc tố trong máu giảm rõ rệt, đồng thời hạn chế sự tích luỹ độc tố tại các cơ quan chuyển hoá và mô não, gợi mở tiềm năng ứng dụng trong hỗ trợ giải độc hệ thần kinh và chuyển hoá.
Năm 1953, Otto Gessner và năm 1956, Từ Hán Hạ, Diệm Ưng Cử và Bi Tây Bình báo cáo trong Trung Hoa Y Học tạp chí (8 : 755-756) là Cam thảo có tác dụng giải độc đối với độc tố uốn ván.
Ngoài ra, chất Glycyrizin đã được chứng minh có tiềm năng bảo vệ gan trước các tác nhân gây độc, đặc biệt là các chất hóa học có khả năng gây tổn thương hoặc gây ung thư gan. Một nghiên cứu tiền lâm sàng thực hiện trên mô hình chuột vào năm 2002 cho thấy glycyrrhizin làm giảm đáng kể mức độ hoại tử và viêm gan do carbon tetrachloride gây ra – một chất độc gan kinh điển thường được sử dụng trong nghiên cứu độc tính. Đồng thời, dữ liệu in vitro mới nhất năm 2025 tiếp tục làm sáng tỏ cơ chế phân tử, cho thấy glycyrrhizin có thể kích hoạt con đường tín hiệu β-catenin, từ đó thúc đẩy quá trình tái tạo mô gan.
Cuối cùng, chất Glycyrizin còn có tác dụng hút các chất độc nhưng Cam thảo không có tác dụng giải độc với atropin, mocphin, stibium, lại có tác dụng tăng độc tính nhẹ đối với ephedrin và adrenalin.
- Tác dụng chỉ khái hoá đờm:Tác dụng chỉ khái có quan hệ đến thần kinh trung ương, Cam thảo kích thích xuất tiết của hầu họng và khí quản, làm cho loãng đàm.
- Tác dụng như một loại corticoid:Cam thảo có tác dụng giữ nước và muốn NaCl trong cơ thể, bài thải Kali gây phù, làm tăng huyết áp (tạp chí Y học Trung Hoa 1956, 42 (8): 770-773).
- Tác dụng chống loét đường tiêu hoá:Trên thực nghiệm súc vật, cao lỏng, nước chiết xuất Cam thảo đều có tác dụng chống loét, ức chế tiết acid dịch vị do có tác dụng ức chế histamin, làm vết loét chóng lành.
- Tác dụng chống co thắt đối với cơ trơn ống tiêu hoá(Dược học học báo 1963, 10(11): 688-698). Năm 1956, H. Berger và H. Hlơer đã thí nghiệm so sánh nước Cam thảo với tác dụng của Papaverin clohydrat thì thấy kết quả là 1/450 và 1/3100.
- Tác dụng nội tiết tố dục tính:Năm 1950, Christopher H. Costello (J. Amer. Pharmaceut. ASS) đã báo cáo trong Cam thảo có chất tác dụng như nội tiết tố dục tính đối với âm đạo chuột bạch.
- Tác dụng kháng khuẩn (Antibiotique):Cồn chiết xuất Cam thảo và acid glycuronic trong ống nghiệm có tác dụng ức chế các loại tụ cầu vàng, trực khuẩn lao, trực khuẩn Coli, Amip và trùng roi (Trichomonoas). Cam thảo còn có tác dụng kháng viêm, thành phần kháng viêm chủ yếu là Glycyrizin và acid glycuronic. Và trên mô hình gây phản ứng dị ứng cho chuột Hà Lan, thuốc có tác dụng ức ché với mức độ khác nhau. Các tác giả cho rằng tác dụng làm giảm tính thẩm thấu của mao mạch, kháng Histamin và làm giảm tính phản ứng của tế bào đối với kích thích.
- Tác dụng đối với khả năng thực bào của tế bào thực bào ổ bụngcủa chuột nhắt: Nếu chuột ở trạng thái bị kích thích (lạnh, nóng hoặc đói) tức là sức chống đỡ của cơ thể yếu, Cam thảo có tác dụng làm tăng khả năng thực bào, còn nếu chuột ở trạng thái yên tĩnh thì thuốc lại có tác dụng ức chế. Nói lên tác dụng bổ của Cam thảo chỉ khi nào cơ thể bị suy nhược, còn lúc khoẻ thì ảnh hưởng không tốt. Một chất chiết xuất từ Cam thảo gọi là Lx (là Glucoprotein khác với acid glycuronic) tiêm vào tĩnh mạch chuột nhắt sẽ làm giảm số tế bào có tác dụng miễn dịch và sinh kháng thể tức ức chế tác dụng miễn dịch.
- Glycyrizin của Cam thảo có tác dụng làm hạ mỡ rõ rệt, nhưng không có tác dụng phòng cơ mỡ động mạch.
- Cam thảo cùng dùng với Sài hồ có tác dụng chống thoái hoá mỡ ở gan.
- Cam thảo còn có tác dụng giải nhiệt, chống lợi niệu và trên thực nghiệm có tác dụng chống rối loạn nhịp tim.
- Độc tính của Cam thảo rất thấp. Cao lỏng Cam thảo cho chuột lớn và thỏ uống trong 40 ngày theo dõi nhiễm độc bán cấp, đã phát hiện cân nặng tăng, tuyến thượng thận hơi teo và chức năng giảm. Cam thảo uống liều cao xuất hiện bụng đầy, kém ăn và rối loạn tiêu hoá. Chất thuỷ phân Glycyrizin có tác dụng dung huyết.
Ngoài những đặc tính dược lý kể trên, những nghiên cứu gần đây cũng cung cấp thêm giá trị dược lý khác mà dược liệu này đem lại, ví dụ:
|
Công dụng |
Loài cam thảo nghiên cứu |
Hợp chất nghiên cứu |
Cơ chế |
Ứng dụng tiềm năng |
Tài liệu tham khảo |
|
Kháng virus |
G. glabra; G. uralensis |
Glycyrrhizin |
Ức chế protease Mpro, ngăn gắn kết với ACE2 |
Hỗ trợ điều trị COVID-19 |
|
|
Chống oxy hoá |
G. glabra |
Flavonoid, phenolic |
Trung hoà gốc tự do |
Ngăn ngừa bệnh tim mạch, lão hóa |
|
|
Chống trầm cảm |
G. glabra; G. uralensis |
Glycyrrhizin |
Ức chế 11-beta-HSD2, điều hòa serotonin |
Điều trị trầm cảm kháng trị |
|
|
Chống ung thư |
G. glabra |
Glabridin |
Ức chế sự di căn, tăng biểu hiện gen Bax, caspase-3 |
Hỗ trợ điều trị ung thư vú |
|
|
Điều trị tiểu đường |
Flavonoid |
Cải thiện độ nhạy insulin |
Quản lý bệnh tiểu đường |
||
|
Điều trị hen suyễn |
G. glabra; G. uralensis |
Glycyrrhizic acid |
Điều hòa cơ chế TGF-β1/Smad, tăng biểu hiện Tregs |
Điều trị hen suyễn |
|
|
Chống kết tập tiểu cầu |
Isoliquiritigenin |
Ức chế enzym aldose reductase |
Ngăn ngừa huyết khối |
Như vậy, trong số ba loài cam thảo bắc được nghiên cứu hiện nay, thì loài G. glabra chiếm ưu thế rõ rệt về số lượng và phạm vi nghiên cứu dược lý hiện đại. Loài này nổi bật với các tác dụng kháng virus (bao gồm khả năng trung hòa SARS-CoV-2), chống oxy hóa, chống trầm cảm, chống ung thư, chống tiểu đường, giãn phế quản và ức chế kết tập tiểu cầu. Sự phổ biến rộng rãi của G. glabra tại châu Âu và Trung Đông – nơi có hệ thống nghiên cứu y sinh phát triển, có thể là lý do chính khiến loài này được ưu tiên nghiên cứu, đặc biệt trong bối cảnh dịch bệnh toàn cầu và nhu cầu tìm kiếm các hợp chất tự nhiên có hoạt tính sinh học đa dạng.
Ngược lại, Glycyrrhiza uralensis – loài cam thảo phổ biến tại Trung Quốc, thường được nghiên cứu trong bối cảnh y học cổ truyền và chủ yếu liên quan đến các tác dụng kháng virus, chống hen và điều hòa tâm thần kinh. Trong khi đó, Glycyrrhiza inflata hầu như vắng mặt trong các tài liệu dược lý hiện đại, có thể do mức độ sử dụng thương mại hạn chế và sản lượng khai thác thấp hơn. Nhìn chung, phần lớn các tác dụng dược lý mới đang được khám phá trên G. glabra và G. uralensis, tuy nhiên những phát hiện này chủ yếu dựa trên các nghiên cứu in vitro và tiền lâm sàng. Do đó, việc chuyển giao sang ứng dụng lâm sàng đòi hỏi nghiên cứu sâu hơn về hiệu quả, độc tính và đặc biệt là tính an toàn khi dùng liều cao, trong bối cảnh trên hợp chất glycyrrhizin có thể gây tăng huyết áp và hạ kali máu nếu không kiểm soát thích hợp.
Ứng dụng lâm sàng
1) Cam thảo được dùng rất nhiều trong các bài thuốc Đông y vì Cam thảo có tác dụng điều hoà tính vị của các vị thuốc khác trong bài thuốc, ví dụ: dùng với Hoàng liên thì làm cho thuốc bớt đắng hàn, trong bài Tam ảo thang, Cam thảo ngoài tác dụng chỉ khái hoá đờm còn có tác dụng làm bớt vị cay của Ma hoàng, vị đắng của Hạnh nhân, trong bài Điều vị thừa khí thang, Cam thảo có tác dụng làm giảm tác dụng xổ mạnh của Đại hoàng, Mang tiêu, v.v… hoặc Cam thảo dùng với Bán hạ, Cam thảo dùng với Tế tân cũng chủ yếu để làm giảm bớt vị cay tê của các vị thuốc kia. Ngoài ra, vị Cam thảo ngọt nên thường dùng trong Nhi khoa để cho thuốc dễ uống.
2) Dùng Cam thảo trong các bài thuốc bổ khí để tăng thêm tác dụng bổ khí như trong các bài Tứ quân, Bổ trung ích khí, …,Cam thảo cùng dùng với Hoàng kỳ, Nhân sâm làm tăng thêm tác dụng bổ khí của Sâm kỳ. Để bổ khí thường dùng chích Cam thảo
3) Dùng trị chứng tâm huyết bất túc sinh chứng mạch kết mạch đại (rối loạn nhịp tim) dùng bài:Chích Cam thảo thang (Phục mạch thang).
Chích Cam thảo thang (thương hàn luận): Chích Cam thảo 16g, thục địa 30g, Mạch môn, A giao, Ma nhân, Đảng sâm, Quế chi mỗi thứ 12g, Sinh khương 12g, Đại táo 4 quả, sắc uống. Bài thuốc có tác dụng kiện tỳ dưỡng tâm, ích khí bổ huyết.
4) Trị các chứng viêm nhiễm: Ung nhọt sưng tấy, hầu họng sưng đau, viêm tuyến vú, phế ung (apxe phổi), chàm lở, lở mồm, … dùng sinh Cam thảo. Thường phối hợp với các loại thuốc thanh nhiệt giải độc như trị ung nhọt, dùng với Bồ công anh, Kim ngân hoa, Liên kiều, trị hầu họng sưng đau, gia Cát cánh, Huyền sâm, Ngư tinh thảo, Sơn đậu căn, Xạ can, Ngưu bàng tử, …
5) Chữa bệnh Addison: Diệp Duy Pháp và cộng sự dùng: uống nước sắc Cam thảo, ngày 3 lần, mỗi lần 3-5ml (có thể dùng 8-10ml, uống 25-40 ngày), chỉ dùng Cam thảo 33 ca, dùng thêm Corticoid 16 ca đều có kết quả, nhẹ thì dùng Cam thảo, nặng có thể bớt lượng Corticoid (Học báo trường Đại học Y khoa Bạch Cầu An, 1978, 4:54).
6) Chữa loét dạ dày hành tá tràng:
- Mỗi lần uống cao lỏng Cam thảo 15ml, ngày 4 lần, liền trong 6 tuần, trị 100 ca có kết quả tốt 90%, kiểm tra X-quang 58 ca, 22 ca hết ổ loét, 28 ca chuyển biến tốt (tạp chí Nội khoa Trung Hoa, 1960, 3:226).
- Dùng chế phẩm Cam thảo có 5% kẽm (Zinc), dược lý chứng minh có chống loét, dùng trị 247 ca loét, uống ngày 3 lần, mỗi lần 0.25-0.5g, có kết quả trên 90% (thông báo Dược học, 1987, 3:150).
7) Trị lao phổi:Mỗi ngày dùng Cam thảo sống 18g, sắc còn 150ml chia làm 3 lần uống từ 30-90 ngày, kết hợp thuốc chống lao trị 55 ca, 23 ca kết quả tốt, 32 ca tiến bộ, không có ca nào xấu đi (Y Dược Giang Tây, 1965, 1:562).
8) Trị viêm gan: Trị viêm gan B mạn tính, dùng viên Cam thảo Glycyrizin, trị 330 ca có kết quả 77% tỷ lệ kháng nguyên e chuyển âm tính 44.8%. Thực nghiệm chứng minh thuốc làm giảm thoái hoá mỡ và hoại tử tế bào gan, giảm phản ứng viêm của tổ chức gian bào, tăng tế bào gan tái sinh, hạn chế sự tăng sinh của tổ chức liên kết, nhờ đó mà giảm tỷ lệ xơ gan (Thông báo Trung Dược, 1987, 9:60).
9) Trị rối loạn nhịp tim: Dùng Cam thảo sống, chích Cam thảo, Trạch tả, mỗi thứ 30g, mỗi ngày 1 thang, sắc chia sớm tối 2 lần uống. Trường hợp bất thường ra mồ hôi, bứt rứt, mất ngủ, tự cảm thấy nóng lạnh bất thường, uống trước bài Quế chi gia long cốt mẫu lệ thang rồi uống thuốc này. Trị 23 ca loạn nhịp thất đều có kết quả tốt, ca uống ít là 3 chén, nhiều là 12 chén thì hết trị chứng, điện tâm đồ trở lại bình thường (Học báo học viện Trung Y Bắc Kinh, 1983, 2:24).
10) Trị lưng, chân đau:Trị 27 ca đau cấp và mạn tính dùng thuỷ châm huyết vùng đau dịch Cam thảo 300% 4ml, cách nhật 4-7 lần là một liệu trình, đối với bệnh cấp 1 liệu trinh, bệnh nhân mạn 2 liệu trình. Kết quả 20 ca hết đau, vận độn tốt, 7 ca giảm hoặc cơ bản hết triệu chứng (Tạp chí Trung Y Triết Giang, 1980, 2:60).
11) Trị cơ cẳng chân rung giật: Dùng cao lỏng Cam thảo, người lớn mỗi lần 10-15ml, ngày 3 lần, trong 3-6 ngày, trị 254 ca, có kết quả rõ rệt 241 ca, tỷ lệ 94.8% (tạp chí Ngoại khoa Trung Hoa, 1960, 4:354).
12) Trị xuất huyết do giảm tiểu cầu: Mã Trọng Lân trị 8 ca giảm tiểu cầu nguyên phát, 5 ca mỗi ngày dùng Cam thảo 30g, 3 ca mỗi ngày 15g, sắc chia 3 lần uống, phần lớn dùng 2-3 tuần. Kết quả tốt 3 ca, có kết quả 4 ca, tiến bộ 1 ca. Toàn bộ bệnh nhân sau khi dùng thuốc 3-4 ngày hết chảy máu, sau 4-10 ngày, các điểm xuất huyết lặn (tạp chí Nội khoa Trung Hoa, 1981, 11:704).
13)Trị nhiễm độc thức ăn:
Dùng Sinh Cam thảo 9-15g, sắc nước chia 3-4 lần uống trong 2 giờ, một số rất ít có sốt gia bột Hoàng liên 1g, trộn nước thuốc uống, trường hợp nhiễm độc nặng dùng Cam thảo 30g sắc cô còn 300ml, mỗi 3-4 giờ xông thụt dạ dày 100ml và rửa dạ dày, truyền dịch. Trị ăn phải độc quả bồ hòn 55 ca, ăn độc quả lệ chi núi 197 ca, nhiễm độc thịt vịt quay không sạch 204 người, đều có kết quả tốt (báo Tân Trung Y, 1985, 2:34), (Cam thảo điều trị 454 ca nhiễm độc thức ăn, Hoàng Nhuệ Thương).
14) Trị đái nhạt: Mỗi lần uống 5g bột Cam thảo, ngày uống 4 lần, dùng trị 2 ca kết quả tốt (báo cáo của Anh Hồng, tạp chí Nội khoa Trung Hoa, 1959, 12:1169).
15) Trị viêm họng mạn: Dùng Cam thảo sống 10g ngâm nước sôi uống như nước trà, hết ngọt bỏ đi, uống liên tục cho đến hết triệu chứng. Kiêng ăn cá, ớt, đường. Bệnh nhẹ uống 1-2 tháng, nặng uống 3-5 tháng, đã trị 38 ca, khỏi 34 ca, tốt 4 ca (Tống Viễn Trung, Cam thảo ẩm trị viêm họng mãn, học báo học viện Trung Y Vân Nam, 1983, 1:20).
16) Trị viêm tuyến vú cấp: Dùng Sinh Cam thảo, Xích thược mỗi thứ 30g, mỗi ngày 1 thang sắc uống liên tục, uống 1-3 thang, trị viêm tuyến vú cấp (chưa làm mủ), 27 ca kết quả tốt (Thi Vĩnh Phát, Cam xích thang trị viêm tuyến vú cấp, tạp chí Y Dược Hồ Nam, 1976, 2:58).
17) Trị viêm tắc tĩnh mạch: Cao lỏng Cam thảo mỗi ngày 15ml, hoặc Cam thảo 50g (giảm lượng tuỳ bệnh), sắc phân 3 lần uống trước bữa ăn. Đã trị 3 ca có 1 ca do có việc nên tiến bộ phải ra viện còn các ca khác đều khỏi. Các triệu chứng đau, phù và nổi tĩnh mạch tại chỗ đều hết (Trương Thạch Sanh, Quan sát kết quả điều trị viêm tắc tĩnh mạch bằng Cam thảo, tạp chí Ngoại khoa Trung Hoa, 1959, 7:6560).
18) Trị chứng nứt da: Cam thảo 50g ngâm cồn 75% 200ml sau 24 giờ, bỏ xác, cho Glycerine 200ml, lúc dùng rửa sạch chỗ nứt, bôi thuốc vào. Đã trị 100 ca, theo dõi 50 ca trong 2 năm không tái phát 36 ca, 1 năm không tái phát 11 ca, 3 ca không kết quả (Lý Cảnh Dục, Cam thảo ngâm cồn trị nứt da, báo Tây Y học, 1974, 1:45).
Một số bài thuốc khác có Cam thảo như sau:
Kavét chữa đau bao tử: cao Cam thảo 0.03g bột Cam thảo 0.1g, Natri bicacbonat 0.15g, Magie cacbonat 0.2g, Bitmutnitrate basic 0.5g, bột Đại hoàng 0.02g, Tá dược vừa đủ 1 viên. Chữa loét dạ dày với liều 2-4 viên/lần, ngày 2-3 lần.
Cao Cam thảo 2 phần, nước cất 1 phần hoà tan, ngày uống 3 lần, mỗi lần 2 thìa nhỏ, không uống lâu quá 3 tuần lễ, chữa loét bao tử.
Cao Cam thảo mềm: Chữa các chứng mụn nhọt, ngộ độc, ngày uống 1-2 thìa con.
Liều dùng và chú ý
4-12 g có khi dùng đến 50g, tuỳ mục đích sử dụng, dùng làm thuốc điều hoà lượng thường dùng ít, dùng để giải độc lượng phải nhiều. Giải độc thanh nhiệt dùng Cam thảo sống, lúc bổ dùng chích Cam thảo.
- Cam thảo tiêu là phần ngọn của thân rễ Cam thảo có tác dụng lợi niệu, trị nhiệt lâm (viêm niệu đạo cấp) hoặc do hoả thịnh gây nên tiểu ít và đỏ, đau niệu đạo (hành trung thống).
- Những trường hợp sau, cần thận trọng lúc dùng Cam thảo:
- Thấp thịnh (bụng đầy nôn, phù trướng, …).
- Trường hợp lợi tiểu trừ thấp, thông hạ cần có tác dụng nhanh không nên phối hợp Cam thảo.
- Dùng Cam thảo với Hải tảo:Sách xưa nói 2 vị thuốc tương phản tác dụng nhưng trong Cổ phương cũng có phối hợp sử dụng như trong bài “Hải tảo ngọc hồ thang” (Y tôn kim giám) trị Anh lựu, Cam thảo và Hải tảo cùng dùng. Trên thực tiễn hiện nay, dùng chung trị bệnh bướu giáp cũng chẳng thấy có phản ứng phụ.
- Về vấn đề Cam toại, Đại kích, Nguyên hoa phản Cam thảo:Căn cứ vào tư liệu kết quả thực nghiệm gần đây cho biết: Lúc phối hợp Cam thảo và Cam toại, nếu Cam thảo lượng bằng hoặc ít hơn Cam toại thì không có tác dụng tương phản, có lúc còn giảm bớt tác dụng phụ của Cam toại, nhưng nếu lượng Cam thảo lớn hơn Cam toại thì có tác dụng tương phản (Nghiên cứu thực nghiệm Trung Dược 18 phản, trích yếu Luận văn hội nghị học thuật khoa học Sinh lý Trung Quốc (Dược lý), 136, 1964). Cũng có kết quả thực nghiệm thông báo sau khi dùng Cam thảo và Cam toại hỗn hợp, chuột to có phản ứng mạnh (bao tử trướng khí và con vật chết) (bước đầu nghiên cứu 18 phản của Trung Dược, Phòng Dược bệnh viện Trung tâm số 1 Thiên Tân, tạp chí Y dược Thiên Tân, (9):687-690, 1960).
Đại kích, Nguyên hoa và Cam thảo cùng dùng thì tác dụng lợi tiểu và tả hạ của thuốc giảm rõ, và có xu hướng làm tăng độc tính của Nguyên hoa. Tỷ lệ Cam thảo càng cao, tác dụng tương phản càng mạnh, ngược lại nếu lượng Cam thảo ít thì không có tác dụng tương phản (theo bài nghiên cứu thực ngiệm Trung Dược 18 phản). Trên lâm sàng thường không nên dùng phối hợp.
- Phân biệt Cam thảo bắc với Cam thảo dây, Cam thảo nam:
Cam thảo dây còn gọi là Tương tư đằng, dây cườm, dây chì chi (Abrus precatorius L.) thuộc họ Cánh bướm (Fabaceae Papilionaceae) thường dùng rễ và lá thay Cam thảo bắc ở nhiều nước (ở Việt Nam, Ấn Độ, Mỹ, …) trong các đơn thuốc nhưng chưa hợp lý. Tại một số nước như Giava giã hạt đắp lên mụn nhọt cho chóng vỡ mủ, chữa nhức đầu, tê thấp. Tại Ấn Độ và Malaisia, lá sắc uống chữa tê thấp, gỗ làm thuốc bổ. Tại Campuchia, vỏ cây dùng chữa lỵ.
Cam thảo nam còn có tên là Dã Cam Thảo, Thổ Cam thao, Giả Cam thảo (Scoparia dulcis L.) thuộc họ Hoa mõm chó (Scrophulariaceae) cũng thường dùng thay Cam thảo bắc. Có tài liệu Ấn Độ nói trong cây có một hoạt chất là Amelin dùng uống để chữa các triệu chứng Acidose của bệnh đái tháo đường. Có nơi dùng thay Cam thảo bắc để chữa sốt, say sắn độc. Tại Malaisia, nhân dân dùng làm thuốc chữa ho. Tại Brazin, lấy nước ép Cam thảo nam thụt chữa bệnh tiêu lỏng và uống chữa ho. Liều dùng tuỳ, thường là 30-100g, sắc uống riêng hoặc phối hợp.
Từ nhiều năm nay, người ta thường dùng Thổ cam thảo hay Cam thảo đá bia dùng để thay thế Cam thảo bắc.
TÀI LIỆU THAM KHẢO
Đăng, T. H., Lâm, H. X., Duy, B. N., Quyên, H. K., Đăng, T. H., Lâm, D. N. X., ... & Phượng, H. T. H. (2020). Xây dựng đặc điểm vi học và mã vạch ADN phục vụ định danh cây cam thảo Đá Bia. Bản B của Tạp chí Khoa học và Công nghệ Việt Nam, 62(12). [Get link]
Cao, R., Gong, H., Xia, S., Hu, Z., Fan, X., Zhai, B., ... & Yan, M. (2025). Glycyrrhizic acid promotes liver regeneration through activating β-catenin in acetaminophen-induced liver injury. Journal of Ethnopharmacology, 119895. [Get link]
Mahrous, R. S., Ibrahim, R. S., & Fathy, H. (2025). Unveiling Liquorice: A sweet journey through history, phytochemistry, and exceptional pharmacological activities. Journal of Advanced Pharmaceutical Sciences, 28-58. [Get link]
Cui, X., Lou, L., Zhang, Y., & Yan, B. (2023). Study of the distribution of Glycyrrhiza uralensis production areas as well as the factors affecting yield and quality. Scientific Reports, 13(1), 5160. [Get link]
Guo, Y., Gao, T., Li, C., Guo, Q., Sun, S., Yang, D., ... & Lü, S. (2022). Detoxification mechanisms of a combination of Semen Strychni and Radix Glycyrrhizae: A comparative analyses of differences in toxicokinetics and tissue distribution after oral administration of Semen Strychni‐Radix Glycyrrhizae decoction. Biomedical Chromatography, 36(5), e5321. [Get link]
Yao, Z., & Fu, Y. (2021). Glycyrrhizic acid restrains airway inflammation and remodeling in asthma via the TGF-β1/Smad signaling pathway. Experimental and Therapeutic Medicine, 21(5), 461. [Get link]
Hasan, M. K., Ara, I., Mondal, M. S. A., & Kabir, Y. (2021). Phytochemistry, pharmacological activity, and potential health benefits of Glycyrrhiza glabra. Heliyon, 7(6). [Get link]
Sharifi-Rad, J., Quispe, C., Herrera-Bravo, J., Belén, L. H., Kaur, R., Kregiel, D., ... & Suleria, H. A. R. (2021). Glycyrrhiza genus: Enlightening phytochemical components for pharmacological and health‐promoting abilities. Oxidative medicine and cellular longevity, 2021(1), 7571132. [Get link]
Murck, H., Lehr, L., Hahn, J., Braunisch, M. C., Jezova, D., & Zavorotnyy, M. (2020). Adjunct therapy with glycyrrhiza glabra rapidly improves outcome in depression—a pilot study to support 11-beta-hydroxysteroid dehydrogenase type 2 inhibition as a new target. Frontiers in psychiatry, 11, 605949. [Get link]
Murck, H. (2020). Symptomatic protective action of glycyrrhizin (licorice) in COVID-19 infection?. Frontiers in immunology, 11, 1239. [Get link]
Sand, L. V. D., Bormann, M., Alt, M., Schipper, L., & Krawczyk, A. (2020). Glycyrrhizin effectively neutralizes SARS-CoV-2 in vitro by inhibiting the viral main protease. New York: Cold Spring Harbor Laboratory. [Get link]
Jiang, M., Zhao, S., Yang, S., Lin, X., He, X., Wei, X., ... & Zhang, Z. (2020). An “essential herbal medicine”—Licorice: A review of phytochemicals and its effects in combination preparations. Journal of Ethnopharmacology, 249, 112439. [Get link]
Xu, Z., Deng, M., Xu, Z., & Deng, M. (2017). Fabaceae or leguminosae. Identification and Control of Common Weeds: Volume 2, 547-615. [Get link]
Yang, N., Patil, S., Zhuge, J., Wen, M. C., Bolleddula, J., Doddaga, S., ... & Li, X. M. (2013). Glycyrrhiza uralensis flavonoids present in anti‐asthma formula, ASHMITM, inhibit memory Th2 responses in vitro and in vivo. Phytotherapy Research, 27(9), 1381-1391. [Get link]
Simmler, C., Pauli, G. F., & Chen, S. N. (2013). Phytochemistry and biological properties of glabridin. Fitoterapia, 90, 160-184. [Get link]
Delbò, R. M. (2013). Assessment report on Glycyrrhiza glabra L. and/or Glycyrrhiza inflata Bat. and/or Glycyrrhiza uralensis Fisch., radix. European Medicines Agency. [Get link]
Xie, J., Zhang, Y., & Wang, W. (2010). HPLC analysis of glycyrrhizin and licochalcone a in Glycyrrhiza inflata from Xinjiang (China). Chemistry of Natural Compounds, 46, 148-151. [Get link]
Kondo, K., Shiba, M., Nakamura, R., Morota, T., & Shoyama, Y. (2007). Constituent properties of licorices derived from Glycyrrhiza uralensis, G. glabra, or G. inflata identified by genetic information. Biological and Pharmaceutical Bulletin, 30(7), 1271-1277. [Get link]
Assafim, M., Ferreira, M. S., Frattani, F. S., Guimarães, J. A., Monteiro, R. Q., & Zingali, R. B. (2006). Counteracting effect of glycyrrhizin on the hemostatic abnormalities induced by Bothrops jararaca snake venom. British journal of pharmacology, 148(6), 807. [Get link]
Jeong, H. G., You, H. J., Park, S. J., Moon, A. R., Chung, Y. C., Kang, S. K., & Chun, H. K. (2002). Hepatoprotective effects of 18β-glycyrrhetinic acid on carbon tetrachloride-induced liver injury: inhibition of cytochrome P450 2E1 expression. Pharmacological research, 46(3), 221-227. [Get link]
Tamir, S., Eizenberg, M., Somjen, D., Stern, N., Shelach, R., Kaye, A., & Vaya, J. (2000). Estrogenic and antiproliferative properties of glabridin from licorice in human breast cancer cells. Cancer research, 60(20), 5704-5709. [Get link]
Vaya, J., Belinky, P. A., & Aviram, M. (1997). Antioxidant constituents from licorice roots: isolation, structure elucidation and antioxidative capacity toward LDL oxidation. Free Radical Biology and Medicine, 23(2), 302-313. [Get link]
Tawata, M., Aida, K., Noguchi, T., Ozaki, Y., Kume, S., Sasaki, H., ... & Onaya, T. (1992). Anti-platelet action of isoliquiritigenin, an aldose reductase inhibitor in licorice. European journal of pharmacology, 212(1), 87-92. [Get link]